Jump to content

nhy

Members
  • Posts

    3
  • Joined

  • Last visited

  1. yes,thank you , I found System > View inverter details > additiona parameters > Inverter night consumption > Night consumption is not zero
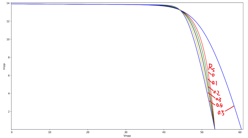
  2. Dear Professor Mermoud A , recently I read your article--'MERMOUD, André. Conception et dimensionnement de Systèmes Photovoltaïques : introduction des Modules PV en couches minces dans le logiciel PVsyst. 2005' https://archive-ouverte.unige.ch/unige:38786 In the P37(Détermination à partir des données du fabricant ) , you said ' PVsyst détermine par approximations successives la valeur maximale de résistance Rs qui permette encore à notre paramétrisation de passer par les 3 points. ....................De fait, PVsyst ne propose pas de solution toute faite à ce problème. Par défaut, il choisit Rs correspondant à un facteur Gamma de 1.3, valeur qui semble raisonnable pour les modules au Si-cristallin. Mais il laisse à l'utilisateur la possibilité de modifier Rs, par exemple s'il veut obtenir un coefficient μVco donné.' I also read the help document in PVsyst--Rseries and Rshunt determination procedure, but I don't know the limited condition (saturation) https://www.pvsyst.com/help/index.html?pvmodule_rserie_rshunt_determ.htm When I attempt to search the Rs,max value , I find there are no clear norm to judge whether it is the biggest Rs , I find it is feasible to use Rs greater than Rs,max given in PVsyst to solve for the remaining five parameters , I can also use the calculated five parameters to plot IV curves which can also through the three point(Isc,Impp,Vmpp.Voc). As show below , the Rs,max given in PVsyst is 0.23 , but I can use larger Rs(0.3,0.4) to plot , when Rs is too big(0.5) , the image is indeed distorted , but now the value is far ahead of Rs,max. So what is the correct method to limit the Rs,max ?
  3. Dear Professor, after setting all the parameters, I click the ‘Advanced simul.’ button and choose the hourly data of E-Grid(Enerey injected into grid) to Excel, I find some values are negative.I want to know whether it is correct and why.
×
×
  • Create New...